PA视讯科技微波小课堂_射频开关(RF Switch)基础
PA视讯科技微波小课堂_射频开关(RF Switch)基础
随着最近用于测试系统开发的射频开关产品的可用性激增,为您的应用选择合适的产品变得越来越困难。大多数射频供应商使用两个主要规范来描述他们的射频开关产品——拓扑和带宽(例如 NI PXI-2594 2.5 GHz 4x1 多路复用器)。虽然这些规格在评估阶段确实很重要,但它们并没有为买家提供足够的信息来做出明智的购买决定。本教程的目的是向您介绍设计 RF 开关网络时必须考虑的以下七个重要规范:
特性阻抗
带宽
拓扑
插入损耗
回波损耗和电压驻波比 (VSWR)
隔离和串扰
上升时间
在讨论特性阻抗和其他 RF 开关规格之前,首先要了解信号在 DC 电路与 RF 系统中传播方式之间的区别。在直流电路或传播信号频率较低的电路中,信号路径中电缆上不同点的信号电压变化很小。在 RF 或高频信号的情况下,情况并非如此,其中信号的波长与电缆的长度相比非常小,允许信号的多个周期同时通过电缆传播。
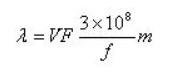
考虑一个例子,其中两个不同频率的波(信号)通过 1 m 同轴电缆传播。第一个信号的频率为1 MHz,而第二个信号的频率为1 GHz。为了计算它们的波长,我们将使用以下公式:

式中l为信号波长,f为频率,VF为电缆速度因子。让我们假设用于路由两个信号的同轴电缆是 RG8 类型,已知其速度因子为 0.66。
那么对于


在信号 1 的情况下,同轴电缆的长度与通过它传播的信号的波长相比非常小。因此,如图 1 所示,电缆中不同点的信号电位变化可以忽略不计。
对于 f = 1 GHz 的信号 2:

在信号 2 的情况下,同轴电缆的长度比通过它传播的信号的波长大得多(几乎 5 倍)。因此,在任何给定时间,信号的多个周期将同时通过电缆。由于它们的波长很小,高频信号以波的形式通过电缆传播。因此,此类信号在不同介质之间传播时会遭受反射和功率损耗(波动理论)。在电路的情况下,当信号(波)通过具有不同特性阻抗的系统组件时,就会发生介质的这种变化。因此,为了最大限度地减少反射和功率损耗,必须使用具有匹配阻抗的合适组件构建 RF 系统。
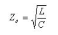
特征阻抗
特性阻抗是传输线参数,由线路的物理结构决定。它还有助于确定传播信号如何在线路中传输或反射。RF 组件的阻抗不是直流电阻,对于传输线,可以使用以下公式计算:

在上面的公式中:
Z 0 = 特性阻抗
L = RF 传输线每单位长度的电感,由电流流过导线时在导线周围形成的磁场引起。
C = 射频传输线单位长度的电容。这也是两个导体之间存在的电容
R = 射频传输线单位长度的直流电阻
G = 每长度的介电电导
ω = 频率(弧度/秒)
由于理想电缆没有电阻或介质泄漏,其特性阻抗可以使用上述公式计算为:

由于射频系统中的所有组件都必须进行阻抗匹配以最大限度地减少信号损失和反射,因此组件制造商专门设计了他们的设备,使其具有 50 或 75 Ω 的特征阻抗。50 Ω RF 系统构成了 RF 市场的大部分,包括大多数通信系统。75 Ω RF 系统数量较少,主要用于视频 RF 系统。工程师确保电缆和连接器等部件以及可能驻留在测试系统中的其他仪器都是阻抗匹配的,这一点至关重要。
插入损耗
如果信号传输的传输线长度大于其自身波长的 0.01,则信号中会出现显着的功率损耗。开关模块的“插入损耗”规格是这种功率损耗和信号衰减的量度。开关模块在特定频率下的插入损耗可用于计算在该频率下打开信号引起的功率损耗或电压衰减。
功率损耗计算公式:

电压衰减计算公式:

要理解插入损耗的概念,请将开关或继电器视为低通滤波器。现实世界中的每个开关都有一些寄生电容、电感、电阻和电导。这些寄生成分结合在一起会衰减和降级开关用于路由的信号。这些元件引起的功率损耗和电压衰减随输入信号的频率而变化,可以通过开关模块在该频率下的插入损耗规格来量化。因此,确保开关的插入损耗在应用的带宽要求下是可接受的至关重要。为了理解为什么这很重要,让我们考虑一个比较两个开关对于特定 RF 应用的适用性的示例。该应用的要求包括将八个 3 GHz 视频信号路由到矢量网络分析仪上的一个通道,衰减小于 30%(插入损耗在 3 GHz 时应小于 3 dB)。考虑的第一个开关是 NI PXI-2557 75 Ω 2.5 GHz 8x1 多路复用器,而第二个是来自另一家 PXI 供应商的 3 GHz 75 Ω 8x1 多路复用器。在初步检查两个模块的更高级别规格后,似乎后者更合适(后者具有更好的带宽规格)。然而,对这两种产品进行仔细检查后发现,这种假设并不成立。下图显示了在两个交换机模块上收集的从 160 MHz 到 3 GHz 的插入数据。

可以看出,在 3 GHz 时,2.5 GHz 模块的插入损耗约为 1.78 dB,而 3 GHz 开关的插入损耗接近 5.64 dB。从这些值我们可以计算出两个模块造成的后续电压和功率损耗为:

上表中的值表明,3 GHz 1 V pp 正弦波在通过 NI PXI-2557 2.5 GHz 75 Ω 多路复用器时会衰减至 0.817 V pp。当同一信号通过来自其他 PXI 供应商的 3 GHz 75 Ω 多路复用器时,将衰减至 0.522 V pp。由此可以看出,即使替代 PXI 供应商的开关模块的带宽规格高于 NI 模块的带宽规格,但其引起的净信号衰减明显高于 NI PXI-2557 引起的信号衰减。此外,可以肯定地说,在上述 3 GHz 应用的情况下,2.5 GHz NI 开关模块比其 3 GHz 对应物更适合。

电压驻波比 (VSWR)
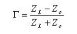
VSWR 是反射波与透射波的比率。如前所述,在较高频率下,信号在通过传输线或电缆时采用波的形式和形状。出于这个原因,就像在声波和光波的情况下一样,当信号穿过不同的介质(例如阻抗不匹配的组件)时会发生反射。在开关模块中,这种不匹配可能存在于连接器的特性阻抗、PCB 走线和实际继电器本身之间。因为 VSWR 是反射波功率的量度,它也可用于测量传输线中的功率损耗量。当与输入信号相加时,反射波会增加或减少其净幅度,这取决于反射与输入信号是同相还是异相。“驻波”模式中最大(当反射波同相时)与最小(当反射波异相时)电压的比率称为 VSWR。要了解如何计算射频系统中的 VSWR 和回波损耗,让我们考虑图 6 中所示的射频传输线。

在图 6 的电路中,负载的阻抗 (40.5 Ω) 不等于源和传输线的阻抗 (50 Ω)。出于这个原因,通过传输线传播的信号的某些部分会从负载反射回来。我们可以使用以下公式测量这种反射:

如您所见,回波损耗是反射信号功率的量度。它也是插入损耗的一个子集。RF 系统中的回波损耗(或反射)越高,其插入损耗就越高。
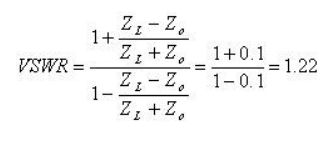
VSWR 是另一种测量信号反射的方法。它可以计算为:

在上式中,┏ 是反射系数,可以使用以下公式计算:

对于图 6 中的电路,我们计算 VSWR 为:

为了形象化本例中发生的情况,让我们假设来自 RF 系统的信号是 1 V pp正弦波。由于系统的反射系数为 0.1,我们可以确定反射的幅度为 0.1 x 1 = 0.1 V 或 100 mV。图 7 显示了当反射波与输入信号分别同相和异相 180 度时产生的合成信号的最大和最小幅度。

如前所述,VSWR 是驻波模式中最大电压与最小电压的比值。使用这个定义,我们可以从图 7 中计算出 VSWR 为:

带宽
如前所述,射频开关模块的带宽是其主要规格之一。然而,带宽只能为我们提供给定产品性能的近似值,因为为 RF 开关建立带宽规范的过程因供应商而异。开关的带宽仅表示供应商认为可以以可接受的 损耗路由通过它的最大频率信号。但是,一个供应商可以接受的可能对另一个供应商来说是不可接受的。因此,例如来自供应商 A 的 3 GHz 交换机可能与来自供应商 B 的 3 GHz 交换机具有完全不同的性能指标。
再次考虑由o不同供应商生产的具有相似拓扑和特性阻抗但带宽规格不同的两个模块的示例。第一个模块 NI PXI-2557,是一个 2.5 GHz 8x1 多路复用器,具有 75 Ω 特性阻抗;来自替代 PXI 供应商的开关是具有 75 Ω 特性阻抗的 3 GHz 8x1 多路复用器。虽然看起来第二个模块更适合路由 2 到 3 GHz 之间的信号,但图 3 中收集和显示的插入损耗数据表明情况并非如此。出于这个原因,NI 模块的带宽规范比其对应的模块要保守得多。,
许多人还认为产品的带宽是其 -3 dB 带宽。这种观点对于数字化仪等仪器是准确的,其中设备的带宽规格实际上是仪器模拟前端的 -3 dB 点。然而,对于 RF 开关,带宽和 -3 dB 之间的关系并不总是成立。虽然有些供应商确实将带宽指定为 -3 dB,但其他供应商则没有。从图 8 中的图表可以看出一个例子,图中显示了 NI PXI-2547 在其带宽 (2.7 GHz) 及其 -3 dB 点 (3.7 GHz) 下的插入损耗。
拓扑
拓扑结构是选择 RF 开关时要考虑的最重要的特性之一。选择具有错误拓扑结构的开关会对插入损耗和 VSWR 产生相当大的影响。可用于 RF 的两种主要拓扑类型是多路复用器和单刀双掷 (SPDT) 继电器。多路复用器是一种切换系统,可将多个输入依次路由到一个输出,反之亦然。SPDT 继电器是多路复用器的缩小版本。单个 SPDT 继电器可以将两个输入路由到一个输出,反之亦然。RF 多路复用器通常由多个 SPDT 继电器组成。
不同的应用需要不同的射频开关拓扑组合。例如,要对 4 通道被测设备 (DUT) 进行激励-响应测试,您可以使用带有两个独立 4x1 多路复用组的模块。另一方面,对于从八个独立 DUT 的输出进行分析的测试,具有单个 8x1 组的模块会更可取。由于市场上有多种射频开关可供使用,因此了解这些不同拓扑的最佳用途以便为您的应用选择最佳选择非常重要。
通过讨论构建 7x1 多路复用器的两种不同方法,图 9 和 10 中的示例将说明为什么更可取。第一种方法级联两个 4x1 多路复用器以构建单个 7x1 多路复用器。这种设置的缺点是它需要来自 DUT 的信号在到达矢量网络分析仪 (VNA) 之前通过两个开关模块(总共四个 SPDT 继电器)。因此,信号路径中出现的净插入损耗现在是系统中每个单独继电器和电缆的单独插入损耗规格的总和。

第二种方法使用固有的 8x1 多路复用器(例如 NI PXI-2547 50 Ω 2.7 GHz 8x1 多路复用器)将七个 DUT 路由到 VNA。这种配置将改善系统插入损耗,不仅因为它减少了信号路径中的 SPDT 继电器总数(三个 SPDT 继电器而不是四个),而且还因为它消除了系统中的额外布线,例如存在于模块之间的电缆以前的系统。因此,在第二个系统中到达 VNA 的信号质量很可能比第一个系统好得多。

图10.与两个4x1 多路复用器相比,8x1 多路复用器拓扑使用更少的继电器来路的信号
隔离和串扰
隔离度定义为通过开路耦合的信号的幅度。串扰被定义为耦合在电路(例如射频模块上的单独多路复用器组)之间的信号幅度。

上升时间
如果信号是纯正弦信号,则开关模块的带宽/插入损耗性能足以确定产品是否适合应用。然而,对于具有多个频率分量的信号,例如方波,这可能并不那么简单,因为保持此类信号的完整性取决于开关对信号上升时间的影响。由于方波由许多频率不同的正弦波组成,为了获得准确的测量结果,开关的带宽必须足够高,以使所有单个正弦波的衰减最小。根据经验,对于方波,一旦第 5次 或第7次达到谐波,上升时间的变化最小。因此,一般来说,如果开关的 -3 dB 点(该点插入损耗等于 3 dB 的频率)是方波基频的 7 倍,方波可以通过开关路由。一些供应商指定了开关的上升时间。如果是这种情况,请检查以确保开关模块的上升时间规格小于需要以最小失真路由的最高谐波的上升时间。
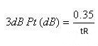
下图显示了方波5次谐波的上升时间测量值。让我们假设这是需要通过开关路由的方波的最高谐波。要确定特定开关是否可以成功路由信号,我们需要将开关的上升时间与谐波的上升时间进行比较。有时此规范不适用于开关模块。在这种情况下,我们可以计算此谐波的 -3 dB 点并将其与开关的 -3 dB 点进行比较。-3 dB 点可以使用以下公式从上升时间计算:

, 其中 t R是开关模块的上升时间

对于上图所示的信号,我们计算达到 -3 dB 时的频率为 6.36 Hz(上升时间为 0.055 s)。因此,在 6.36 Hz 或更高频率下插入损耗小于 3 dB 的开关将足以路由方波。
结论
仪器或开关的电压规格是该设备的物理限制。同样,数字化仪的采样率和数字万用表的精度很好地描述了仪器的最大性能。200 MS/s 的数字化仪无法实现比 200 MS/s 更快的实时采样率。但是,2 GHz RF 开关可以路由 2 GHz 以上的信号,但功率损耗更大。因此,为您的应用选择最佳和最具成本效益的 RF 开关需要彻底查看产品的数据表,以确定其插入损耗、VSWR、隔离度和其他规格是否满足您的系统要求。一些供应商提供扫描图来显示整个频率范围的这些规格,而其他供应商仅提供特定频率的规格。在这种情况下,重要的是联系供应商并获得更完整的规格,以确定产品是否适合您的应用。










关注微博
关注微信
关注公众号
关注抖音号