PA视讯科技微波小课堂_传输线的损耗除了带来衰减之外,还带来了什么?
PA视讯科技微波小课堂_传输线的损耗除了带来衰减之外,还带来了什么?
在数据信号传输过程中,线缆的衰减是表示电缆有效的传送射频信号的能力,它由介质损耗、导体(铜)损耗和辐射损耗三部分组成。大部分的损耗转换为热能。导体的尺寸越大,损耗越小;而频率越高,则介质损耗越大。另外,温度的增加会使导体电阻和介质功率因素的增加,因此也会导致损耗的增加。今天我们就来看一下传输线缆的损耗除了带来衰减之外,还带来了什么?
因为有限的电导率和有损耗的填充介质,传输线会有损耗。
传输线的分布参数模型如下图所示。

其中,R表示由于金属的有限电导率带来的损耗,而G则表示由于有耗电介质带来的损耗。
由上面的分布参数模型,可以得到传输线的电报方程,从而得到传输线上电压波的传输方式。

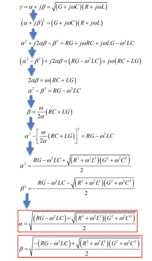
其中,上面的复传播常数 γ的等式可以做如下变换。

因此,由于有限电导率和电介质损耗,会使得电压在传输过程中,幅度发生衰减。
但是除了幅度会衰减之外,还会有什么影响呢?
当传输线无耗时,即R=0,G=0,此时:

此时,相位项 β是频率的线性函数。
但是,如果不忽略传输线的损耗,严格按照式5来计算出衰减因子 α和相位项 β,如下图所示。

此时,当不忽略损耗时,衰减因子 α和相位项 β都不是严格的频率的线性函数。
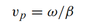
相速的定义为:

这说明,相速随时间变化。
这呢,又进一步暗示,如果一个含有多个频率的宽带信号,沿着有损耗的传输线传输的话,不同频率分量到达传输线接收端的时间会有不同,即会产生色散效应。而且不同频率对应的衰减幅度还也一致。
虽然,β与线性函数的偏离可能非常小,但是如果传输线很长,那影响就不能忽略。
所以,就有了无畸变传输线的概念,即distortionless line。
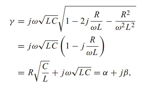
当传输线的参数满足下面条件时,传输线可以是一个无畸变传输线:

此时式5可以简化为:

此时,虽然传输线还是有衰减,但是衰减的幅度与频率无关,而且 β是频率的线性函数,即相速不是随频率变化的函数。
因此无畸变传输线,虽然有耗,但是可以无失真的传输脉冲或者宽带调制信号。
所以,传输线的损耗,除了带来衰减之外,还带来了色散效应,即传输时,其幅度和相位的变化,都与频率相关。
参考文献:
[1] 微波工程
[2] http://empossible.net/wp-content/uploads/2018/03/Lecture-4a-Transmission-Lines.pdf










关注微博
关注微信
关注公众号
关注抖音号