[科普]西德尼-达林顿与达林顿对管
01 什么是达林顿对管?
任何电子工程师估计对 SIDNEY Darlington 的名字都耳熟能详。他在 20 世纪 50 年代初,突发奇想,发现并初步展示了达林顿晶体管对,或简称为达林顿晶体管或达林顿对。自此以后,达林顿晶体管对便成为人们设计电子线路中的常用器件。这个发明证明了西德尼广泛的技术兴趣,以及他为解决实际工程问题所表现出的创造力。

早期的硅晶体管共发射极电流增益 β 值很低,而且不同样品的 β 值变化很大。对于良好的硅生长结晶体管样品,β 的范围可能在 5 到 15 之间。鉴于这些有源元件的缺点,电子电路工程师在设计电路中犯了难,主要表现在电路不稳定,或者电路放大倍数偏差比较大。当时人们知道,可以通过在电路中引入负反馈来提高电路的稳定性和一致性,但这需要晶体管具有更大的电流增益。负反馈可以在工作条件和晶体管特性发生变化时稳定整体电路性能。西德-达林顿(Sid Darlington)当时对此心知肚明。

▲ 图1 达林顿晶体管对。其中两个基级电阻被用于加速达林顿管关断过程
02 达林顿对管的发明
新罕布什尔大学的名誉教授费尔森-格兰兹,讲述了达林顿晶体管对起源的故事:
"就在贝尔实验室发明了晶体管之后,西德尼在周末从贝尔实验室负责人那里借走了两个为数不多的晶体管。当时晶体管还没有普及,实验室负责人把仅有的几个晶体管放在自己的办公桌上。西德尼周末在家摆弄这些晶体管的时候,灵光乍现,脑子里冒出了 达林顿管设计方案。他意识到这些晶体管可以放在一个封装中,也就是在一个硅片上,形成单个器件。事实上,这个想法可以扩展到将任何数量的晶体管都集成在一个芯片上,这也就是未来集成芯片的雏形。第二周,他请律师将自己的想法起草专利申请。他说,专利申请内容应该包括任何数量晶体管集成在一起,但律师只想针对两个晶体管的级联。谁能想到,如果不是仅限于两个晶体管,贝尔实验室和达林顿博士就能从今天制造的每一块集成电路芯片上获得专利费! 据达林顿讲述的这个故事来看,当时他的专利申请的确保守了"。

题为 "半导体信号传输装置 "的美国专利 2 663 806 于 1953 年 12 月 22 日颁发,西德尼-达林顿为唯一发明人。下面给出了专利中的配图。大家可以看到,专利申请中的确包含有两个晶体管和三个晶体管的方案,也许这反映了达林顿和律师之间的妥协结果。这一专利经常被后来颁发的专利作为相关技术引用。现在的在线数据库只能追溯到 1971 年; 但从 1971 年到 1991 年,有 17 项后续专利引用了这项达林顿发明。这些专利的名称显示了从电源到安全设备再到电视接收器的各种用途。

▲ 图2 达林顿晶体管专利绘图
03 达林顿对管的特性
3.1、优点
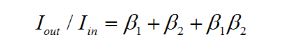
通常情况下,达林顿管内部的两个基级电阻并不是必需的,虽然通常包括在内,只是用来方便设计偏置电流,并减少关闭达林顿管所需的时间。当然,这些基级电阻的存在会降低电流增益,尤其是在低电流时。如果我们忽略电阻器中流过的电流,并将单个晶体管的共发射极电流增益定义为 β=Ic/Ib,那么简单的分析表明,达林顿晶体管对的整体直流或低频电流增益为
![]()
3.2、缺点
因此,在低频下,达林顿对管 近似等同于单个晶体管,其电流增益大于β的平方 。电子电路工程师对于电流增益的提高表示欢迎。但遗憾的是,高频分析表明达林顿对管的相移比单晶体管大得多。单晶体管放大器级在施加负反馈时通常是无条件稳定的,但使用达林顿对管 的单级放大器却并非如此。与使用达林顿对管 的单级放大器相比,传统的两级共发射晶体管放大器更容易通过负反馈实现稳定。因此,达林顿对管 主要应用于不需要使用反馈的非关键电路。另一个限制是,导通时通过器件的最小压降必须大于第二个晶体管的基极-发射极电压(约 0.8 V)。在开关大电流时,该压降造成的功率浪费会成为一个问题。而普通的共发射晶体管开关的相应压降只有 0.2 V。
04 集成电路的先驱
达林顿晶体管对中的两个晶体管共享一个公共集电极区,这是否说明西德尼是否预见到集成电路发展的问题。事实上,西德尼的专利图示并声称一对晶体管共用一个 n 型半导体区域,该区域构成达林顿晶体管对管 的公共集电极。专利图中的跳线连接了一个晶体管的发射极和另一个晶体管的基极。当时,互联跳线是通过手动操作进行连接的,一次接一对。现代平面集成电路可以方便地提供批量互连的双极晶体管,它们共享一个共同的集电极区域。由此可见,西德尼构想出了现代集成电路的部分而非全部基本特征。

05 达林顿管的应用
在互联网上搜索 "达林顿晶体管 "就会发现,时至今日,被认定为达林顿晶体管的商用器件已经多达几十种。它们通常具有 1000 或更高的电流增益,主要用于继电器驱动器和其他要求简单和高增益的应用。例如,应用于电动机械弹球机中的电磁铁驱动触发器和闪光灯。来自微处理器的几毫安逻辑信号经达林顿晶体管放大后,可以轻松地以 50 V 的电压开关一个安培或更大的电流,动作时间只有数个毫秒 ,这正是驱动电磁线圈或钨丝灯所需要的。

06 达林顿其他工作
西德尼-达林顿在晶体管电路设计领域至少还有过一次探索。据 1952 年左右加入贝尔实验室的富兰克林-布莱切尔博士(Dr. Franklin Blecher)称,西德尼曾经设计、制造并演示了一个完整的三级直接耦合晶体管放大器,该放大器可能适合用于助听器。该电路使用的是单晶体管,而不是达林顿晶体管对。电路中还包括适当设计的负反馈,以稳定增益和直流工作点。虽然这是西德尼的一项创举,但事实证明,早在之前就有人展示过这种电路。

西德尼-达林顿具有强烈的好奇心和独创性,并掌握了最先进的现代科学和工程知识。他的创造性成就激励着所有认识他的人。
参考资料
[1]Darlingtons contributions to transistor circuit design: http://ieeexplore.ieee.org/document/739258
来源:TsinghuaJoking










关注微博
关注微信
关注公众号
关注抖音号