PA视讯科技微波小课堂_频谱分析仪的工作原理
频谱分析仪是无线通信系统的研发、测试和维护中常用的测试测量仪器,它不仅可以进行频域测量,还可以进行时域测量,甚至还可以进行矢量信号分析。如果你从事的是无线通信相关的工作,那么掌握频谱分析仪的使用是一项基本必备技能。为了更好的使用频谱分析仪,我们势必需要对频谱分析仪的原理要有一定的了解。
如果将频谱分析仪进行分类,我们最常看到的分类有两种类型,FFT分析仪和超外差式分析仪。实际上,现在广泛使用的频谱分析仪其实是这两种频谱分析仪原理的综合应用。
FFT分析仪很好理解,其原理就是直接对时域进行傅立叶变换,这需要对信号进行采样得到一组离散数据,并对其进行算法分析处理。我们知道采样定理需要采样频率大于2倍的信号频率,对于高频信号这将会对ADC提出了重要的挑战,而且在早期半导体技术限制,ADC的位数受限,其采样能力有限,因此,FFT分析仪一般常用于低频的信号分析。
为了满足高频信号的测量,超外差式分析仪成为了应用较为广泛的频谱分析仪。
所谓"超外差",就是通过本振信号和输入信号进行混频,产生特定频率的一个信号。超表示将信号变换为超音频,它最早是由阿姆斯特朗提出,可以利用超外差原理制成超外差接收机。这里的阿姆斯特朗可不是那位登月的兄弟哈。他是一位无线电早期的专家,发明了无线电调频的方法,对无线电的发展产生了深远的影响。

阿姆斯特朗
这种变频接收方式的性能优于高频直接接收方式,所以至今仍广泛应用于高频信号接收机中。在我们身边也常见到很多接收机的例子,比如,收音机、GPS、卫星电视接收机等等这些都属于接收机。收音机的工作原理和频谱分析仪类似,我们可以通过收音机来初步的认识频谱分析仪,收音机作用是通过将接收到广播电台发射的电磁波转化成我们人耳可以听到的声音。实际上,这里并不是直接将接收到的电磁波直接转成电磁波,而是通过载波放大,混频,中频放大,检波,音频放大,功放,扬声器发出声音等一系列过程。与收音机类似,频谱分析仪也有一系列复杂的过程。
接下来,我们可以通过下面的框架图来学习现代常用的频谱分析仪的工作原理。

频谱分析仪结构框图
从上面的图我们可以看到,射频信号先通过衰减器,将载波和本振混频,中频放大,中频滤波,检波,视频滤波,模数转换,数据存储,数据计算,图形显示等一系列过程,下面我们依次来学习这些过程。
衰减器
基本上频谱分析仪的信号接收端都会设计一个衰减器,这样将有效的防止信号过大而损坏仪器内的器件。这个衰减器一般都是可调的,在测量时我们可以根据需要选择一个合适衰减值,不过,这里的衰减作频谱分析仪内部的衰减,我们不需要再进行单独的换算,屏幕显示的测量值已经对这里的衰减做了换算处理。当然,这个衰减器并不是万能的,因为,它并不是无限的衰减,当然,也没有无限大小的衰减器,通常如果测试的信号过大,我们还需要外接一个衰减器,对于外接的衰减器,我们需要进行一定的换算处理。比如,频谱分析仪的屏幕显示的值加上这里的外接衰减值就是实际的测量值。当然我们大可不必这样自己去换算,实际上我们可以通过设置频谱分析仪的Ref level offset参数将这个衰减值补偿进频谱分析仪里,这个参数我们可以理解为外部的校准值。这时屏幕的显示值就是我们的测量值了。这种方法在测试测量中极为方便,也是最为广泛使用的一种方法。
虽然衰减器可以有效的保护仪器的安全,但是,这也带来了一个弊端,设置衰减之后输入信号的减小而降低了信噪比,这将会对测试灵敏度产生一定的影响。
切记,在使用频谱分析仪的时候,一定要预估一下所测信号是否在频谱分析仪的安全范围内,一般都会在输入端口标记最大功率的大小。
混频和混频器(Mixer)
与收音机的原理类似,超外差式的频谱分析仪实际测量的并不是原始的载频信号,也是需要经过混频,将测量信号降频后生成中频信号,再进行测量。那么,问题来了,什么是混频?和谁进行混频?
混频是指将相信号从一个频率变换到另外一个频率的过程,它是频谱线性搬移的过程。
在射频里用来混频的射频器件我们称做混频器,它需要一个射频输入信号和一个本振信号,通过将两个信号相乘产生新的混频信号,也就是我们这里所说的中频信号。

混频器
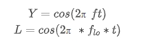
通信里的一切都是建立在数学的基础上的,这里我们可以通过三角函数的积化和差来理解混频。我们可以我们假设Y是射频输入信号,L是本振信号:

我们将两个信号相乘,也就是混频:
通过上面的公式我们可以看出,两个信号经过混频器混频后会生成两信号频率之和、差的信号,也就是信号发生了频谱搬移。

混频器示意图
虽然上面是通过实信号进行推导,但是对于复信号也是同样的道理,这里先不做展开。
回到本文正题,对于频谱分析仪的混频功能,就需要两个关键器件来实现,混频器和本地振荡器,频谱分析仪将接受到射频信号和本地振荡器生成的本振信号经过混频器进行混频产生中频信号,以便于下一级信号处理。
中频滤波器(IF Filter)
射频信号经过混频之后,生成的中频信号才是我们想要的信号,混频前的信号是我们不想看到的,那么是不是加上一个低通滤波器就可以了呢?然而,对于混频器而言,其内部结构中是由非线性器件组成,因此,射频信号经过混频后也有交调和干扰信号的产生。因此,为了准确分辨出中频信号,通常需要一个带宽足够窄的滤波器来分离频率间隔很近的信号,这就是中频滤波器,它可以抑制带宽之外的其他信号。
我们在使用频谱分析仪进行测试时,经常会调整一个重要的参数RBW(分辨率带宽),它实际上就是对应这里的中频滤波器的带宽(一般它代表的是中频滤波器的3dB带宽)。
调整RBW的大小往往会对频谱有一定的影响,RBW的值越小,频谱图形越细致,同时低噪也越低。

RBW

RBW
不过,测试时间也会相应变长。一般根据实际情况选择一个合适值进行设置即可。
扫描器(Sweep Generator)
上面了解了混频器、本地振荡器、中频滤波器,我们来思考这样一个问题。如果我们测量的是带宽信号,由于中频滤波器是一个窄带滤波器,要测量到每个频率信号,我们就需要对每个频率上都加上这么一个窄带滤波器。实际上,这种做法是非常不现实的。
如果要对带宽信号进行测量,为了使设计更加简单,我们可以保持中频不动,通过改变本振频率将中频固定在某个频率上,这样中频信号处理电路就可以完全一样了。
如何改变本振频率呢?它就是扫描器,扫描器可以用来控制本地振荡器输出的频率,从而实现将不同频率的信号转换成相同频率的中频信号。扫描带宽是可以由我们自己来设置的,它对应的就是频谱分析仪上的参数Span,也对应着测量的频率范围,也就是频谱分析仪屏幕上对应的频率带宽。除了带宽之外,我们还需要明确起始频率(Start Frequency)或终止频率(Stop Frequency),这样才能把测试范围确定下来。当然,在仪器使用时,我们是不需要再根据仪器的中频去换算本振起始频率或终止频率的,为了仪器的使用方便,直接以实际的测试频谱的起止频率进行设置,仪器自身自然会做相应的调整生成对应的本振频率。
一般频谱分析仪无外乎都有Zero Span、Full Span和自定义Span的这几种Span形式。Zero Span对应的是信号的时域情况,因为这个时候的扫频带宽是0,测量结果显示的是对应中心频点的时域结果,也就是类似示波器的功能。Full Span也很好理解,它对应的是测量的满带宽测量范围,当然,由于硬件的限制这个满带宽不是无限的,不同的仪器有不同的范围,大家在使用不同型号的频谱分析仪可以关注一下。自定义Span是我们常用的一种测试形式,为了更好的测试和观察被测信号,我们通常需要根据测试信号和测试需求来确定测试的频率范围,这时我们就可以通过自定义的种方式进行设置,一般的我们设置好了中心频点之后,再设置一个Span带宽即可,频率分析仪会自动调整起止频率。当然,我们也可以自己手动调整起止频率。
检波器
在现代的频谱分析仪屏幕一般采用的数字液晶屏,数据的显示只能通过离散的像素点来描述。相比高频信号这些离散的像素点也显得十分有限而不能完全描述一个信号。因此,这里还需要对原始信号通过算法进行抽点,所谓抽点就是将实际信号划分成多个片段,在将这些片段通过某种算法得出一个点来表示这个像素点对应的值,最后将这些像素值显示到屏幕上,它们代表了信号的最终测试结果,这个过程我们称做检波,经过检波之后的信号我们称作检波包络信号。
一般频谱分析仪都有下面这几种检波的方式,检波方式差别主要体现算法上的不同。
■最大峰值检波:选取对应片段里的最大值。
■最小峰值检波:选取其中的最小值。
■自动峰值检波:同时选取最大值和最小值。
■取样检波:选取特定位置的值。
■均方根检波:将对应片段中的点,取其均方根(RMS)运算后的值。
■平均值检波器:将对应片段中点,取其平均值。

对于最大峰值检波、最小值峰值检波、自动峰值检波,这些选取峰值的检波方式,由于选取的是最大值或最小值,忽略了噪声随机性,它们就不能很好的反映实际的噪声情况。而取样检波则可以很好的反映噪声随机性,但是其弊端是对于信号的峰值却不能很好的反映。而平均值检波和均方根检波是选取片段中所有的点做运算而取出一个点,所以,相对来说它们更能很好代表这个片段中所有点的特性。
在平时测试测量中,我们根据测试的实际情况选择相应的检波方式即可。
视频滤波器(Video Filter)
经过检波之后,检波包络信号将进入视频滤波器(Video Fileter),视频滤波器是一个低通滤波器,其作用主要是用来平滑噪声显示的。在频谱分析仪中,有个视频带宽(Vedio bandwidth)的设置,我们可以通过减小视频带宽(VBW)对频谱显示的噪声进行平滑处理,这对小信号的显示非常有帮助。

VBW
然而,VBW的设置也不是随便设置的,它跟RBW的设置有关,否则,将会影响信号测试的准确性。一般情况下,当我们改变RBW时,VBW的默认缺省值等于RBW。
通常,VBW和RBW的大小关系,跟下面几种信号类型有所不同。
●正弦信号
●脉冲信号
●随机信号
对于正弦信号,一般VBW使用默认缺省值即可,即VBW等于RBW,如果测量的信号过小,可以适当减小VBW平滑噪声,这时VBW是小于RBW。如果是脉冲信号有些不同,为了过得更精确的测试值,往往需要设置较大的VBW,这时VBW是大于RBW的。
还有一些随机信号,因为随机信号具有随机变化性,频谱每次扫描时的信号也都是随机的,所以,为了显示更加平滑,我们需要设置一个较窄的VBW值,也就是这时VBW的是小于RBW的。比如,VBW和RBW的比值是1:100甚至1:1000。
模数转换器(ADC)
上面我们说过现在大多数的频谱分析仪也有一些数字化能力,在视频滤波器之后加了ADC数模转换器,并将转换后的数字信号进行数字信号处理的功能,可以提高仪器的测试能力,通过算法处理可以用来测试各种复杂制式的信号,测试速度和测试动态范围也大大提高。
相信大家平时使用仪器的时候经常会遇到IF Overload的报错,它是由于待测信号高于参考电平(Reference Level)导致,这里的参考电平实际上就是ADC的最大电压值。因此,当参考电平设置的不准确的时候,测量值也会不太准确。不过,为了便于理解,我们也可以将参考电平当作屏幕上能显示的最大值。一般的我们可以将Reference Level的设置值比实际信号大10dB左右。
结尾
无论什么型号的频谱分析仪,其原理大都如此。在了解了频谱分析仪的工作原理之后,相信大家会更加熟悉各种型号的频谱分析的使用,以及在测试各种环境下的信号时,只有理解了原理才能更加准确合理的设置各项参数,便于测出我们想要测试的信号。以上就是本课堂所有内容,感谢您的来访。










关注微博
关注微信
关注公众号
关注抖音号