PA视讯科技微波小课堂_为什么恒包络调制可以推到饱和区
我们都知道功放进入非线性区会产生非线性——丰富的互调,谐波。
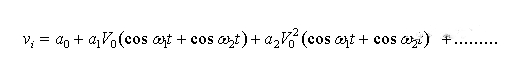
下面的公式是双音信号的泰勒级数展开

一个双音输入电压的数学形式可用式表示:
按照泰勒公式展开,如式(2.6)所示,

继续展开

双音信号展开就会存在互调信号,进入功放的非线性区,会恶化的更厉害
所以我们会很小心的选择功放的P-1,保证功放的非线性在合理的范围内。但是对于恒包络调制都是推到p-3,却从不担心恒包络产生邻道扩展。这是为什么呢?
研究信号的包络问题,首先需要知道什么是包络。
包络:载波的峰值点连线。包络线是反映高频信号(载波)幅度变化的曲线。对于一个没有挂任何调制信号的载波而言,它的包络应当是一对水平线。

所以恒包络调制是指峰值幅度相等,相位连续的调制波形。
假设一个恒包络调制
设一个符号为g(t)*cos(ω0t+φ),
非线性用3次函数逼近Vo=aVi+bVi2+cVi3,
则
Vo=a* g(t)*cos(ω0t+φ)+b* g2(t) *cos2(ω0t+φ)+c*g3(t) *cos3(ω0t+φ);
cos3(ω0t+φ)=cos(ω0t+φ)*cos2(ω0t+φ)=1/2*cos(ω0t+φ)*[cos(2ω0t+2φ)+1]
=1/4*cos(3ω0t+3φ)+3/4*cos(ω0t+φ)
Vo=a*g(t)*cos(ω0t+φ)+b*g2(t)*cos2(ω0t+φ)+c/4*g3(t)*cos(3ω0t+3φ)+3c/4*g3(t)* cos(ω0t+φ)
输出的基频为Vo=(a+3c/4)* g(t)*cos(ω0t+φ)
恒包络调制g3(t) =g(t)
所以恒包络理论上讲没有三阶互调问题,即使推到饱和区,在基带波形里不会产生频谱展宽(邻道泄露),产生的仅是功放的非线性和调制波形的谐波。
而对于非恒包络调制
幅度和相位都不连续
如同上文的双音信号,存在频谱扩展
那么又说回来了,为什么有的恒包络调制功率回退会产生改善呢?

原因就在滤波器,成型滤波器如果太窄或者太抖,会产生轻微的非线性。所以如果恒包络调制产生了较差的邻道指标,那么问题就是——波形的事!
改波形去吧,祝好。










关注微博
关注微信
关注公众号
关注抖音号